إرشادات مقترحات البحث معلومات خط الزمن الفهارس الخرائط الصور الوثائق الأقسام

مقاتل من الصحراء
Home Page / الأقســام / موضوعات علمية / الكهرباء، واللاسلكي، والإلكترونيات




منظر من الجو لطبق أريسيبو
أجهزة الرؤية والتنشين الحراري
مستشعر أرضي قصير المدى
مستشعر بعيد المدى
مستقبل لنظام تحديد المواقع
استخدام الحاسب للتوقيع
جهاز تقدير المسافة اليدوي
دبابة بالأشعة
صورة حاسب ميداني
طائرة موجهة من دون طيار
صاروخ موجهة بالأشعة دون الحمراء

. التيار والجهد في ملف حث
إمالة الهوائي لخفض الصاري
ممانعة دائرة الرنين
نهاية قمعية هرمية
هوائي متحد زاوية الطور
هوائي مركب
هوائي مزود بعاكس
هوائي الإشعال العلوي
هوائي ثنائي القطبية
هوائي حرف L
هوائي حرف T
هوائي شكل حرف V
موجة التعديل
منحنى التيار للوصلة الثنائية
منحنى التكبير
منطقة الصمت
ملف الإطالة
مثال لدائرة تعديل سعوي
نبضات دائرة المفاضل
مجالات الموجات الكهرومغنطيسية
مجزئ الجهد
إطالة الهوائي بإضافة أفرع
إطالة الهوائي بإضافة فرع
إطالة الهوائي بإضافة فرعين
مسار الموجات السماوية
أساس الإرسال والاستقبال اللاسلكي
مستنزف التيار
مذبذب مكبر ذو تغذية
مقوم موجة ذو مكثف
مقوم الموجة الكاملة
مقاومة التوازي لقياس التيار
النموذج الإشعاعي لهوائي
الهوائي متخالف زاوية الطور
الهوائي المائل
الهوائي ثنائي القطبية المزدوج
الهوائي ذو الشكل المعين
الموجات الكروية
الموجة التوافقية
الموجة الحاملة بعد التعديل
الموجة الحاملة قبل التعديل
الموجة العالية ترددياً
المنحنى الترددي للمكبر
الوصلة الثنائية
المذبذب أحادي الاستقرار
المذبذب ثنائي الاستقرار
المذبذب عديم الاستقرار
المقاومة لقياس التيار
المقياس ذو الملف المتحرك
التمثيل البياني للجهد
التوصيل الأمامي
التوصيل الأمامي للوصلة الثنائية
التوصيل المختلط
التوصيل الخلفي للوصلة الثانية
التوصيل على التوالي
التوصيل على التوازي
التيار والجهد في مكثف
التيار والجهد في مقاومة
التيار وفرق الجهد
التيار المتردد لدورة كاملة
التيار المرشح
التيار الكهربي المستحث
التيار بعد التقويم
الترددات الجانبية
التعديل النبضي
التعديل النبضي الموضعي
التغذية الرجعية
الجهد الحاجز
الجهد الحاجز في التوصيل الخلفي
الحيزات الجانبية
الرابطة التساهمية لذرة الجرمانيوم
الرسم الطوري
السلك المحوري
السلك المجدول
السلك المفرد
العمود الجاف
العلاقة بين الجهد والمحور
الفيض المغناطيسي لملف لولبي
الفيض المغناطيسي لحلقة
الفيض المغناطيسي لسلك
استنتاج علاقة الممانعة والتردد
بلورة القاعدة
تأثير الانعكاس على الهوائي
تأثير انحناء سطح الأرض
تأثير سطح الأرض
تأثر الاتصال بارتفاع الهوائيات
توصيل أربعة مصابيح
توصيل مصباح بسلك
تنفيذ الدائرة المتكاملة بالترانزيستور
تجميع الشعاع الإلكتروني
تجربة نقطة الزيت لميلكان
تجربة قياس الشحنة النوعية
تدريج مقياس المقاومة
ترسيب ترانزيستور
تطبيق نورتون الخطوة الثانية
تطبيق ميلمان الخطوة الأولى
تطبيق ميلمان الخطوة الثانية
تطبيق سفنن المرحلة الأخيرة
تطبيق سفنن الخطوة الأولى
تطبيق سفنن الخطوة الثانية
تغذية الترانزيستور N P N
جهد المسح
جهد المصدر والجهد المستحث
خلية فولتايك
دائرة لتقويم التيار المتردد
دائرة مذبذب
دائرة مذبذب عديم الاستقرار
دائرة المكامل
دائرة القطع
دائرة توضح قانون أوم
دائرة تحليل الدوائر الكهربية
دائرة تكبير باستخدام ترانزيستور
خرج مقوم الموجة الكاملة
حركة الإلكترون
خطوط الفيض المغناطيسي
خطوط عمل المجال المغناطيسي
رمز الوصلة الثنائية
رمز الترانزيستور N P N
رمز الترانزيستور P N P
رسم موجه جيبية
صمام أشعة المهبط
صورة الكهربية لسلك أفقي
صورة الكهربية لسلك رأسي
شبه موصل موجب
شبه موصل سالب
طبقات الأيونوسفير
زيادة مسافة الاتصال
شدة التيار وفرق الجهد
طريقة تنفيذ دائرة متكاملة
كود ترقيم المقاومات
كسر الرابطة التساهمية
علاقة قانون أوم
عمق التعديل السعوي
ظاهرة الاضمحلال
عاكس قطع مكافئ
فارق زاوية الطور
ذرة النحاس
ذرة الهيدروجين
ذرة الكربون
قواعد جبر المتجهات
قانون نورتون الخطوة الأولى
قياس مستويات التيار
قياس مستويات جهد مختلفة
قياس المقاومة
قياس فرق الجهد
قطار النبضات




الفصل الثاني

5. انتشار الموجات القصيرة Short -wave propagation

تنتشر الموجات القصيرة من10 إلى 100 م، بصفة عامة، عن طريق الموجات الأرضية، وعن طريق الموجات السماوية، مع ملاحظة أن امتصاص الموجات الأرضية، يزداد مع زيادة التردد، بينما يقل الامتصاص في طبقات الأيونوسفير، مع زيادة التردد؛ نتيجة لذلك تُعدُّ الموجات السماوية الوسيلة الرئيسة لانتشار الموجات القصيرة، حيث إن الموجات القصيرة الأرضية تنتشر فقط إلى مسافات بسيطة، لا تزيد على 50 كم، بينما تُعدُّ اتصالات الموجات القصيرة باستخدام الموجات السماوية، الوسيلة الاقتصادية لتحقيق الاتصالات عبر المسافات الكبيرة.

تُعدُّ طبقة الايونوسفير F الطبقة الأساسية لانعكاس الموجات القصيرة، في الظروف المناخية العادية، وفي هذه الحالة تعاني الموجات من اضمحلال ملحوظ نتيجة لمرورها مرتين خلال الطبقتين D و E صعوداً وهبوطاً، (أُنظر شكل مسار الموجات السماوية)، يوضح مساراً طبيعياً للموجة السماوية، بينما يوضح (أنظر شكل زيادة مسافة الاتصال)، إمكانية زيادة مسافة الاتصال نتيجة لتكرار عملية الانعكاس من خلال وثبتين hops2 ، حيث إن الموجة المشعة قد انعكست مرتين من طبقة الأيونوسفير، ومرة من على سطح الأرض، وفي هذه الحالة تتحدد مسافة الاتصال على سطح الأرض، من معرفة الزاوية التي تسقط بها الموجة القصيرة على طبقة الأيونوسفير F وكلما زادت زاوية السقوط، زادت مسافة الاتصال السطحية، مع الوضع في الاعتبار أن الموجات التي تسقط بزاوية تقترب من90 درجة، تخترق طبقة الأيونوسفير وتنتشر في الفضاء ولا تعود إلى سطح الأرض مرة أخرى؛ أما الانعكاس الكامل، فيحدث عند زاوية، يطلق عليها زاوية السقوط الحرجة critical angle و هي زاوية محددة لكل منطقة عمل و لكل تردد.

يجب اختيار تردد الاتصال، بحيث يكون أقل قليلاً من التردد الحرج، حتى ينعكس من الأيونوسفير، وكذلك بحيث يعاني من أقل توهين أثناء مروره بالطبقات E و D، ومن عيوب الاتصالات بالموجات القصيرة، أنه يلزم تغيير تردد الاتصال أكثر من مرة خلال اليوم، للحصول على أفضل اتصال؛ كما أنه معرض للتداخل من محطات الإرسال الأخرى، التي تعمل على الترددات نفسها، نظراً لندرة الترددات التي تناسب الاتصال الجيد طبقاً للوقت من اليوم، والفصل من العام؛ واتصالات الموجات القصيرة مثلها مثل الموجات المتوسطة، معرضة لظاهرة الاضمحلال، حيث تجتمع الموجات عند المستقبل قادمة من أكثر من مسار، ولكن في حالة الموجات المتوسطة، يكون التداخل بين موجة أرضية وموجة سماوية، أما في حالة الموجات القصيرة فيكون التداخل بين موجة سماوية قادمة مباشرة، وموجة سماوية قادمة من المسار الخلفي، (أُنظر شكل ظاهرة الاضمحلال)؛ ومن عيوب اتصالات الموجات القصيرة كذلك، وجود منطقة الصمت Silent zone ، وهي المنطقة المحصورة بين أقصى مدى لانتشار الموجة الأرضية، وبين أول سقوط للموجة السماوية، وفي هذه المنطقة يتعذر التقاط أي إشارات، (أُنظر شكل منطقة الصمت).

6. انتشار الموجات القصيرة جداً  Ultra short waves

للموجات القصيرة جداً، العديد من الاستخدامات في الإذاعة، والاتصالات، وبعض المجالات الهندسية، مثل الإرسال التليفزيوني، وأجهزة الرادار، والملاحة اللاسلكية، إضافة إلى العديد من الاستخدامات العسكرية الحديثة، مثل توجيه الأسلحة، والمقذوفات، وتقدير الارتفاع، والتصوير الجوى، ومراقبة الطرق والتحركات …الخ؛ وتتميز استخدامات الموجات القصيرة جداً، بضرورة توفير خط للرؤية المباشرة بين جهاز الإرسال وجهاز الاستقبال، حيث إن تلك الموجات لا يمكنها أن تتبع انحناءات سطح الأرض وتعاريجه، كما أنه لا يمكن أن تنعكس من طبقات الأيونوسفير، بل تخترقها وتندفع إلى الفضاء، ولا تعود مرة أخرى إلى سطح الأرض.

ينحصر استخدام الموجات القصيرة جداً في الاتصالات، في الاتصالات ذات المدى القصير فقط، مثل الإرسال الإذاعي والتليفزيوني المحلي، وكذلك الاتصالات بين الطائرات الحربية. وهذه الموجات تتميز بإمكان استخدامها للاتصالات عريضة النطاق، أي أنه يمكن بسهولة نقل الصوت أو المعلومات الرقمية التي تحتاج إلى حيز مرور عريض Wide Band width، ويمكن استخدام هذه الميزة في الاتصالات مع التغلب على قصر مسافة الاتصال، باستخدام محطات لإعادة الإذاعة بين المحطات الابتدائية والمحطات النهائية radio relay.

يؤثر انحناء سطح الأرض على اتصالات الموجات القصيرة جداً تأثيراً ضخماً، ولذلك توضع هوائيات الاستقبال وهوائيات الإرسال دائماً فوق أماكن مرتفعة، ويمكن حساب أقصى مسافة للاتصال، بدلالة ارتفاع الهوائيات، (أُنظر شكل تأثر الاتصال بارتفاع الهوائيات)، باستخدام القانون التالي:

حيث إن D هي أقصى مسافة اتصال، وh1 ارتفاع هوائي الإرسال، h2 ارتفاع هوائي الاستقبال.

يعتمد استخدام الموجات القصيرة جداً في الرادار، وفي توجيه الأسلحة، والمقذوفات، أساساً على إمكانية الحصول على نماذج إشعاعية موجهة جداً، عند أطوال هذه الموجات؛ وتتراوح زاوية الرأس في هذه النماذج من ست إلى عشر درجات، وقد تصل إلى درجة واحدة في معدات التوجيه، والتتبع العسكرية؛ كما أنه، نظراً لارتفاع تردد هذا الحيز من الموجات، يحدث اختلاف في التردد المستخدم عند انعكاسه من جسم متحرك، وهي الظاهرة التي تعرف باسم "تأثير دوبلر" Dopler effect؛ ويعتمد هذا الاختلاف في التردد على سرعة الجسم المتحرك، وقد وفرت هذه الظاهرة إمكانية تمييز الأهداف الثابتة والأهداف المتحركة على شاشات أجهزة الرادار، وإمكانية تتبع الأهداف المتحركة، وتحديد سرعتها، مثل رادارات مراقبة حركة المرور على الطرق السريعة، واكتشاف سرعة العربات المخالفة التي تتجاوز حدود السرعة المقررة.

وقصر الموجة، أيضاً، يؤدي إلى إمكانية استخدام هوائيات صغيرة، ومكونات إلكترونية صغيرة الحجم، الأمر الذي يؤدى إلى إمكانية إنتاج أجهزة اتصال، وأجهزة نقل صورة تليفزيونية، وأجهزة رادار صغيرة الحجم جداً، الأمر الذي مكن من تركيب مثل هذه الأجهزة في رأس الصواريخ الحربية، لتوجيهها بدقة على الأهداف المعادية.

خامساً: الهوائيات ANTENNAS

تنتج الشحنات الساكنة، مجالاً كهربياً ثابتاً في المنطقة المحيطة بها، بينما يسبب التيار المستمر مجالاً مغناطيسياً ثابتاً في المنطقة المحيطة به. أما التيار المتردد المار في زوج من الموصلات الكهربية، المتصلة بمصدر للقوة الدافعة الكهربية، فانه يولد مجالاً كهرومغناطيسياً متغيراً، ينتشر في الفراغ المحيط بهما، وعند تصميم الدوائر الكهربية للتيار المتردد، يبذل المصممون جهداً كبيراً للقضاء على إشعاع الموجات الكهرومغناطيسية غير المرغوب فيها، ولهذا الغرض يتم دائماً استخدام أسلاك مزدوجة، وقريبة من بعضها، وفي هذه الحال تتعادل المجالات الناتجة عن تيارين متساويين، ومتخالفين في الاتجاه، وتصبح شدة المجال الكلية مساوية للصفر تقريباً، ويمكن، أيضاً، القضاء علي المجالات العشوائية، غير المرغوب فيها، باستخدام المواصلات المحورية، حيث ينحصر المجال في المنطقة المحصورة بين الموصل المركزي، وسطح الموصل الخارجي، الذي يحيط بالموصل الداخلي من جميع الاتجاهات.

1. المبادئ الأساسية والنظريات

عند تصميم الهوائيات يكون الهدف الرئيس هو إشعاع الموجات الكهرومغناطيسية بأقصى قدرة ممكنة، ولهذا الغرض، يمكن استخدام الموصلات، كما سبق توضيحه، ولكن يتم إلغاء الاحتياطات والأسباب التي كانت تقلل أو تمنع الإشعاع، ويمكن تحقيق ذلك بطرق عديدة، فعلى سبيل المثال، يمكن تركيب الأسلاك الموصلة، بحيث تكون زاوية فيما بينها، ولا تكون متوازية، حتى لا يلاشي المجال الناشئ من سلك منهما، المجال الناشئ من السلك الآخر، وهذا مبدأ عمل الهوائيات التي على شكل حرفV ، (أُنظر شكل هوائي شكل حرف V)، أو تلك التي لها شكل المعين Rhombic antennas، (أُنظر شكل الهوائي ذو الشكل المعين)، التي تصطف مكوناتها محققة زواياً حادة بينها، أو الهوائي ثنائي القطبية المزدوج double -dipole antenna ، (أُنظر شكل الهوائي ثنائي القطبية المزدوج)، الذي يتكون من موصلين الزاوية بينهما 180 درجة، ويمكن كذلك، جعل أحد الموصلين أكثر طولاً من الآخر، فلا يتساوى المجالان الناشئان من مرور التيار في الموصلين، وبالتالي لا يتلاشيان، ومثل ذلك الهوائيTop fire antenna، (أُنظر شكل هوائي الإشعال العلوي) و(شكل هوائي ثنائي القطبية)، فقد ألغي الموصل الثاني بالكامل، ويطلق على هذا النوع، الهوائي ثنائي القطبية غير المتماثل assymetric dipole، وهناك عائلة كاملة من الهوائيات غير المتماثلة، من بينها الذي يكون على شكل الحرف L، (أُنظر شكل هوائي حرف L)، والذي يكون على شكل شكل الحرف T، (أُنظر شكل هوائي حرف T)، والهوائي المائل Tilted antenna، (أُنظر شكل الهوائي المائل)، وفي عائلة الهوائيات غير المتماثلة يتم توصيل الموصل الثاني بالأرض. وهناك عائلة أخرى من الهوائيات يطلق عليها اسم "الهوائيات متحدة زاوية الطور" cophased antenna، ومن أمثلتها الهوائي الموضح (أُنظر شكل هوائي متحد زاوية الطور)، إذ يتم جمع المجال المشع من كل موصل، بحيث يقوي كل منهما الآخر. أما في عائلة الهوائيات المتخالفة في زاوية الطور antiphased antenna ، فيتم ضبط المسافة بين الموصلين، للحصول على صور محددة لشكل المجال المشع، و(أُنظر شكل الهوائي متخالف زاوية الطور) يوضح أحد أفراد هذه العائلة.

بصفة عامة، إذا تكون الهوائي من مجموعة من الثنائيات المشعة، فإنه يمكن ضبط الفرق في زاوية الطور للتيارات المغذية لكل ثنائي، وذلك بانتخاب المسافات بين النقط التي تتصل بها تلك الثنائيات، كما يمكن تصميم هوائيات، تستخدم في بنائها أكثر من صورة من صور الهوائيات الموضحة في الفقرة السابقة.

2. تأثير سطح الأرض على إشعاع الهوائيات

كقاعدة عامة، تستخدم الهوائيات قريباً من سطح الأرض، وذلك يؤثر في القدرة الإشعاعية للهوائي، وكذلك على شكل النموذج الإشعاعي له، ولدراسة تأثير سطح الأرض على أداء الهوائيات، يفترض أن الهوائي مركب على ارتفاع معين من سطح الأرض، وأن سطح الأرض موصل جيد للكهرباء؛ (أُنظر شكل تأثير الانعكاس على الهوائي)، يصل للنقطة P الإشعاع قادماً من مسارين مختلفين، الأول مباشرة من الهوائي، والثاني منعكساً من سطح الأرض؛ ومن المعلوم من نظريات الكهربية الساكنة، أن أي شحنة كهربية، توجد على مسافة معينة من سطح موصل، تكون لها شحنة، صورة، تقع خلف السطح الموصل بالمسافة نفسها، وتكون ذات إشارة كهربية معاكسة للشحنة الأصلية، وإذا وضع سلك موصل عمودي فوق سطح الأرض، يمر به تيار كهربي، ويكون اتجاه مروره في لحظة ما، من أعلى إلى أسفل، تتكون له صورة تبعد المسافة نفسها عن سطح الأرض، وفي الاتجاه العكسي، وتتولد في الصورة شحنات ذات إشارة معاكسة، وتتحرك من أسفل إلى أعلى، أي أن التيار الكهربي المار في الصورة، سيكون في اتجاه مماثل لاتجاه التيار في الموصل الأصلي، (أُنظر شكل صورة الكهربية لسلك رأسي)، وهذا يعني أنه في حالة وضع هوائي رأسي فوق سطح الأرض، فإن المجال الكهرومغناطيسي الناتج، يكون محصلة المجالات الناشئة من الهوائي الحقيقي، ومن الهوائي الصوري، الذي يسري فيه تيار له القيمة نفسها، والاتجاه نفسه، وفي هذه الحالة يكون الهوائي الحقيقي وصورته مجموعة ثنائية متحدة زاوية الطور inphased dipoles ؛ أما إذا تحركت الشحنة الكهربية فوق السطح الموصل أفقياً (أُنظر شكل صورة الكهربية لسلك أفقي)، فإن الهوائي الأفقي، والهوائي الصوري له، يكونان مجموعة ثنائية متخالفة زاوية الطور antiphased dipoles.

يتضح مما سبق، أن سطح الأرض ذو التوصيل الجيد أسفل الهوائي، يغير من خواصه الأساسية، فإذا وضع هوائي رأسي بحيث يلامس طرفه السفلي سطح الأرض، يلاحظ أن الهوائي وصورته يكوّنان هوائياً ثنائي القطبية مزدوجاً، ويكون لتردد الرنين، طول موجي يساوى ضعف طول الهوائي، وبالتالي يساوي أربعة أضعاف ارتفاع الهوائي عن سطح الأرض، ولذلك أطلق على هذا الهوائي اسم "هوائي ثنائي القطب ربع موجي" quarter wave dipole، (أُنظر شكل تأثير سطح الأرض)، ويكون شكل الإشعاع الناتج عنه، النموذج الإشعاعي للهوائي، فوق سطح الأرض، مشابهاً للنموذج الإشعاعي لهوائي نصف موجة، (أُنظر شكل النموذج الإشعاعي لهوائي).

تُعد قيمة مقاومة سطح الأرض للتيار الكهربي عاملاً مهماً، والدراسة السابقة كلها تفترض أن سطح الأرض موصل جيد، وهذا الأمر ليس حقيقياً بدرجة كافية، ولذلك يجب اللجوء إلى بعض الإجراءات، التي تحسن من درجة توصيل سطح الأرض للتيارات الكهربية، وتقلل مقاومة سطح الأرض، ومن هذه الإجراءات دفن ألواح معدنية، أو أسلاك موصلة، في المنطقة المحيطة بالهوائي، أو خلطها ببعض محاليل ملحية، وقد أظهرت الحسابات، أن المنطقة المؤثرة من سطح الأرض حول الهوائي، هي الدائرة التي نصف قطرها يساوي 35 % من طول الموجة، ولذلك يعالج سطح الأرض بهذا الأسلوب في منطقة يصل قطرها حتى50 % من طول الموجة للهوائي، ويمكن الوصول إلى النتيجة نفسها، باستخدام مجموعة من الأسلاك مرتفعة عن سطح الأرض بدلاً من دفنها تحت السطح counterpoise.

3. تردد الرنين والهوائي المتوافق Resonant frequency and Harmonic antenna

لكل هوائي العديد من ترددات الرنين، التردد الذي عنده يشع الهوائي كل القدرة الناتجة من المصدر المغذي له، وتحدث ظاهرة الرنين كلما أصبح طول الهوائي أحد المضاعفات الصحيحة، لنصف طول الموجة، أي أنه عند تغذية هوائي معين بترددات مختلفة، تحدث ظاهرة الرنين، كلما كان خارج قسمة طول الهوائي على طول نصف الموجة يساوي عدداً صحيحاً، وتكون أطول موجة تحدث ظاهرة الرنين، هي التي يكون طول نصفها، مساوياً لطول الهوائي، وتعرف هذه الموجة باسم "الموجة السائدة" dominant wave of the antenna؛ أما الموجات الأقصر من الموجة السائدة، التي يحدث عندها حالة الرنين فتسمى "التوافقيات العليا للهوائي" a ntenna higher harmonics ولكل منها يحدد رقم محدد، يناظر عدد أنصاف الموجة التي يساويها طول الهوائي بالكامل.

الهوائيات الثنائية الأقطاب المزدوجة double dipoles، تكون في حالة رنين عندما يساوي طولها مضاعفات أنصاف الموجة

         طول الهوائي ……… l

         طول الموجة ………  

         عدد صحيح ……… n

         أما الهوائيات غير المتماثلة assymetric antennas ، فتكون في حالة رنين عند

4. هوائيات الموجات الطويلة والمتوسطة Long and Medium wave antennas

حتى يكون الهوائي في حالة رنين، وحتى تكون له مقاومة إشعاعية تساوي فاعلية عالية للهوائي، يجب أن يكون طوله، على الأقل، يساوي 0.25 من طول الموجة، وهذا يمثل مشكلة كبيرة بالنسبة للموجات الطويلة، إذ يلزم أن يكون طول الهوائي بضعة مئات من الأمتار، وعلى هذا الأساس، إذ زاد طول الموجات على 1000م، يضطر المستخدم إلى استخدام هوائيات ذات أطوال تقل عن طول الرنين، وفي هذه الحالة، تظهر ممانعة سعوية ضمن معاوقة لدخل الهوائي، ويلزم معادلة هذه الممانعة بتركيب ملف على التوالي مع الهوائي، ويعرف هذا الملف باسم "ملف إطالة" lengthening coils، (أُنظر شكل ملف الإطالة).

وعند استخدام هوائي للموجات المتوسطة للعمل مع حيز كبير من الترددات، تكون بعض هذه الترددات أقل من تردد الرنين، وفي هذه الحالة تظهر ممانعة حثية ضمن معاوقة الدخل للهوائي، ويلزم معادلتها بتركيب مكثف لتوليف هذا الهوائي، يعرف باسم "مكثف تقصير" Shortening capacitor، وبصفة عامة تحتوى دائرة توليف الهوائي عريض النطاق، على كل من الملف والمكثف.

ولزيادة كفاءة الهوائي بدلاً من تركيب ملف إطالة، يزاد طول الهوائي حتى يصبح مساوياً لطول الرنين، وحتى يمكن استخدام صارٍ ذي ارتفاع معقول، يثنى سلك الهوائي بزاوية قائمة عند أقصى ارتفاع للصاري، ويشد الجزء الإضافي أفقياً، ويصبح شكل الهوائي في هذه الحالة على شكل حرف L، وهذا الهوائي كفاءته أفضل من الهوائي ذي ملف الإطالة، ولكن يحتاج الأمر إلى استخدام صارٍ إضافي، (أُنظر شكل إطالة الهوائي بإضافة فرع)، ويمكن تحسين أداء الهوائي أكثر من ذلك بزيادة الأفرع الأفقية إلى فرعين، (أُنظر شكل إطالة الهوائي بإضافة فرعين) أو أكثر (أُنظر شكل إطالة الهوائي بإضافة أفرع).

ولزيادة المقاومة الإشعاعية، وتحسين كفاءة إشعاع الهوائي، تستخدم محطات الإذاعة على الترددات المتوسطة، مجموعة هوائية تتكون من عدة هوائيات ثنائية الاستقطاب رأسية، مغذاة من مصدر واحد، (أُنظر شكل هوائي مركب)، ويبعد كل ثنائي عن الآخر بمسافة تقل عن الطول الموجي، ويتصل بعضها ببعض من أعلى بفرع أفقي للهوائي، ويمكن اعتبار هذا الهوائي ذي خواص مشتركة بين الهوائي الذي يكون على شكل الحرف T والحرف L.

5. هوائيات الموجات القصيرة Short wave antennas

كلما قل طول الموجة، ازدادت أنواع الهوائيات التي يمكن استخدامها، وعند الموجات القصيرة، تصبح مواصفات توصيلية الأرض سيئة للغاية، وتزداد نسبة الفاقد من الإشعاع المفيد للهوائي عند توصيله بالأرض، ولذلك يجب تجنب استخدام الهوائيات ثنائية الأقطاب، ذات التوصيل الأرضي، التي لا تكون لها نتائج جيدة، إلا في حالة الاستخدام بالقرب من مسطحات مائية كبيرة، أو على الأراضي الرطبة.

وعادة ما نرغب في خفض ارتفاع صاري الهوائي، ولذلك يمكن ثني سلك الهوائي بزاوية، ليصبح على شكل حرف L أو استخدام سلك مائل، (أُنظر شكل إمالة الهوائي لخفض الصاري)؛ وأكثر أنواع هوائيات الموجات القصيرة، "الهوائي ثنائي القطبية النصف موجة" Half - wave dipole antenna، وللحصول على أقصى مدى للاتصال يلزم أن تكون أقصى كثافة للإشعاع، عند الزاويا من 10 إلى 20 درجة بالنسبة للوضع الأفقي، ولذلك تصبح الدايبولات الأفقية، ذات مواصفات إشعاعية جيدة عند استخدامها على ارتفاع أكبر من نصف الطول الموجي.

وإذا زاد طول كابل تغذية الهوائي على، 3-4 طول موجي، تختلف مقاومته الموجية عن مقاومة دخل الهوائي، وبذلك يزيد الفقد للإشارات المفيدة داخل كابل التوصيل، ويلزم بذل عناية خاصة للموائمة بين مقاومة المغذي ومقامة الهوائي، ولتحقيق هذا الغرض تستخدم محولات المواءمة Matching transformer .

ولكي يؤدي الهوائي مهمته بصورة جيدة عند العمل على حيز كبير من الترددات، يلزم أن يكون نموذجه الإشعاعي، وكذلك مقاومة دخله، ثابتين نسبياً مهما تغير الطول الموجي، وهذه الخاصية ترتبط بالهوائيات ذات المقاومة المنخفضة، وذات مساحة المقطع الكبير نسبياً، وقد ثبت عملياً أنه إذا كان قطر السلك الموصل الذي يكون الدايبول يساوى 03, 0 من الطول الموجي، فإن مقاومة الدخل للهوائي تكون 300 أوم تقريباً، ويكون الهوائي ذا فعالية عالية في حيز عريض من الترددات.

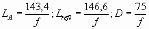
ونظراً للأطوال القصيرة نسبياً للدايبول، تكون هناك إمكانية جيدة لتصميم هوائيات موجات قصيرة، ذات إشعاع اتجاهي، وأبسط نموذج من هذه الهوائيات، هو الهوائي المزود بعاكس، (أُنظر شكل هوائي مزود بعاكس)، ويمكن استخدام المعادلات الآتية لحساب أفضل طول للدايبول LA وأفضل طول للعاكس Lref وأفضل مسافة تفصل بينهما D:

حيث D ، Lrefl ، LA  مقاسة بالمتر.

6. هوائيات الموجات القصيرة جداًUltra short -wave antennas

في حيز الموجات القصيرة جداً، تستخدم الهوائيات ذات الخواص الاتجاهية، وعند الأطوال الموجية الصغيرة، تكون هذه الهوائيات مدمجة، وذات حجم مناسب يسمح بأن تكون هوائيات دوارة، ونتيجة لهذه الخاصية، أمكن نقل الإشارات اللاسلكية إلى مسافات بعيدة في الاتجاهات كافة، وكذلك أدت إلى الاستخدام الاقتصادي، لقدرة محطات الإرسال، والحد من تداخل محطات الإرسال المجاورة، ويمكن استخدام مجموعة الدايبولات، متحدة أو مختلفة زاوية الطور لهذا الغرض، إذا كانت الموجات مترية.

وعند العمل في حيز الموجات الديسمترية، والسنتيمترية، يمكن استخدام عواكس ذات أشكال مختلفة، ومن أهم هذه الأشكال العاكس البارابولي، شكل القطع المكافئ Parabolic reflector ، المصنوع من مادة الدورالمنيوم Duralumin ، وهو الذي يؤدي إلى خواص اتجاهية ممتازة للنموذج الإشعاعي. ويعتمد عمل العاكس البارابولي، على فكرة وضع المشع في بؤرة العاكس، ويصدر الإشعاع من البؤرة، لينعكس من على سطح العاكس، وطبقاً لقوانين المرايا الكروية المقعرة، ترتد الأشعة الساقطة موازية لمحور العاكس، (أُنظر شكل عاكس قطع مكافئ).

ولجعل النموذج الإشعاعي أكثر اتجاهية، وللتخلص من النصوص الجانبية Side lobes غير المرغوب فيها، يجب أن يزيد قطر عاكس الهوائي D بكثير على طول المشع، أي أن:

كما يجب تصنيع سطح العاكس بدقة عالية، وعادة ما تميز اتجاهية الهوائي بزاوية النموذج الإشعاعي،  والعلاقة التي تربط بين قطر العاكس، وزاوية رأس الشعاع هي:

وهذه العلاقة، توضح أنه باستخدام عاكس ذا قطر كبير نسبياً، يمكن الحصول على نموذج إشعاعي ضيق جداً، وعلى سبيل المثال إذا كان:

D = 20

نحصل على نموذج إشعاعي، اتساعه ثلاث درجات، وهذا الهوائي يمكن تنفيذه عند الموجات الديستمرية، والسنتيمترية.

وللأدلة الموجية المفتوحة النهاية خاصية اتجاهية، وهي تعمل كدابيول خطي، ويمكن زيادة خواصها الأتجاهية بتركيب نهاية قمعية Horn في الطرف المفتوح للدليل الموجي، وكلما زادت فتحة النهاية القمعية، زاد طولها، وكان الانتقال من الدليل الموجي إلى الفضاء المحيط من دون فقد أو انعكاسات، وكان النموذج الإشعاعي أكثر اتجاهيه. وللحصول على خواص اتجاهية جيدة يجب أن يكون طول النهاية القمعية أكبر من طول الموجات، على سبيل المثال للحصول على زاوية رأس للنموذج الإشعاعي تساوي 50 درجة، يجب أن يكون طول النهاية القمعية من 8 إلى10 أضعاف طول الموجة، (أُنظر شكل نهاية قمعية هرمية).




[1] أطلقت هذه التسمية تخليداً للعالم الاسكتلندي جيمس ماكسويل James Maxwell 1831-1879 الذي أسهم إسهاماً كبيراً في علوم الكهروبصريات وعلوم اللاسلكي.

[2] تخليداً للعالم الرياضي الألماني كارل جاوس Karl gauss 1777-1855.

[3] العجلة التسارعية، هي المعدل الزمني الموجب لتغير السرعة acceleration ، وسيستخدم لفظ عجلة التسارع فيما بعد، والعجلة التباطئية، هي المعدل الزمني السالب لتغير السرعة deceleration ، وسيكتفي باستخدام لفظ العجلة التباطئية.

[4] يتناسب تردد الموجة ؟ تناسباً عكسياً مع طولها ؟ وثابت التناسب هو سرعة انتشار الضوء c.

[5] الأنجستروم = 10 -10 متر.

[6] حاصل ضرب السرعة الزاوية ؟ و الزمن t يساوي زاوية دوران الملف.

[7] يطلق علي فارق زاوية الطور في هذه الحالة `زاوية السبق أو التقدم` Lead  angle.

[8] يطلق على فارق زاوية الطور في هذه الحالة ` زاوية التأخر` Lag angle .

[9] قد تحتوي الدائرة على مفاعلة حثية، ومفاعلة سعوية، ومقاومة أومية؛ يطلق على أي من هذه المكونات، إذا اجتمعت في دائرة كهربية معاً،  اسم `المعاوقة للتيار المتردد`، ويرمز لها بالرمز Z.